
折纸思路新解百年数学题
作品编号:038
投稿时间:2020.7.30
摘要:本文介绍了一道堪称“世纪难题、百年经典”的几何剖分问题——“主教冠”剖分,历经“世界三大出谜人”(萨姆·劳埃德、亨利·杜德尼、马丁·加德纳)之手。根据笔者的收集,百年之中得到此题单一剖分最简解(5块)的只有5人,笔者是中国唯一,其余为外国人。本文将介绍这几种最简解法及证明,给爱好者们提供一份资料作为参考。
相信下面这张图对中外数学爱好者并不陌生,而且很大可能您见过它的动图(hingeddissection),这就是著名的英国趣题设计家与娱乐数学家亨利·杜德尼(1857-1930)解答的Haberdasher'sPuzzle(Dissectingtheequilateraltriangleintoasquareusingasfewpiecesaspossible)。

除了上面这个知名剖分问题,亨利·杜德尼还正确解答过另外一道几何剖分问题——“主教冠问题”(Miter-DissectionPuzzle),而且这道题还涉及到“世界三大出谜人”的另外两位——萨姆·劳埃德和马丁·加德纳。

此题由美国伟大的趣题家和智力玩具专家萨姆·劳埃德(1841~1911)提出。具体题目是这样的:一个木匠要将一个主教冠形状(一个正方形切去1/4,即除去一个等腰直角三角形后)的木板切割成几块(要求最少块),再拼接,重组成一个小正方形。萨姆·劳埃德提出该题后,自己给出了一个4块答案。然而,遗憾的是他给的答案是有瑕疵的。他的答案如下:

下面,我们分析一下他的错误所在。
假设“主教冠”所属的正方形边长为1,则可推出:
拼后小正方形边长=(1)
我们将两个图像标注符号和颜色,进行对比分析:


即,不管是分成6个或7个台阶,这种解法都存在误差,不能完全吻合。
针对这个答案,美国声名显赫的业余数学家、科普作家马丁·加德纳在1966年5月的《科学美国人》期刊中也做了总结;文中他还提到了另外几个人的答案,如:亨利·杜德尼和哈里·林格伦。
下面分别作一介绍。首先,来看看亨利·杜德尼的经典答案。

如上图,亨利·杜德尼将“主教冠”上部的两个等腰直角三角形合并成一体,再考虑其他部分;当然,必不可少会有一步用来确定新正方形的边长的,即,图中为EM。那么这个大三角保持不动;两个三角形S1、S2合并形成的小正方形;再考虑两个剩余块,通过移动它们的位置(S4、S5块沿EM边互换),结果(右图)也就出来了。
下面证明亨利·杜德尼解法的正确性,
a)首先看各边是否匹配:


在马丁·加德纳的文章里,另外介绍了一种神奇的孪生四块解法,由哈里·林格伦在1964年给出,如下图所示。

萨姆·劳埃德没能完成最简4块解法的梦想,但是哈里·林格伦应该算是变相地完成了。两个“主教冠”分成两组完全相同的四块,八块可分别组合成两个小正方形。为什么说这种解法神奇,它的关键之处在于最后拼出的正方形拼块分别关于正方形的两个不同对称轴对称;两组拼块的过渡之处位于两个全等的箭头型四边形S1。对称轴(下图中的红色线段)不同,则过渡块(S1、S2)归属不同。
从上图看,让您切割,可能会无从下手,后文会介绍笔者想到的方法。

根据哈里·林格伦推出的两个正方形拼块摆法,笔者回朔出本质画法,并由此推出它们之间可以相互转化,下面说明画法及证明。



行文至此,笔者已经介绍了几种解法,其中一种有误,这些答案有一定的年代感。从1903年提出这个题目至今,还有一些数学家、剖分专家和数学爱好者给出了一些多块(多于5块)的解法,这里不多赘述。笔者还看到两种5块解法,是在号称“韩国第一出题人”的朴富成2013年出版的书里,一个来自米驰·格兰特,一个来自朴富成本人。下面分别介绍一下。
首先,我们看看米驰·格兰特的解法。

米驰·格兰特的解法很巧妙,因为他的解法恰巧修正了萨姆·劳埃德解法中的误差,成为正确的解法。下面,我们来验证一下。

接下来,我们再来瞧瞧朴富成本人的解法,很机智。

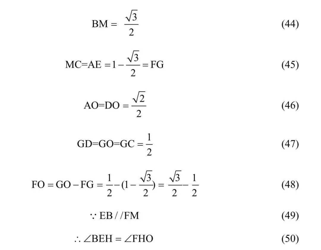
如上图所示:



朴富成的解法机智在于:
利用OG=GC,横纵长度相等可匹配;AE=AB-EB=MC=BC-BM,同样利用AB=BC、EB=BM;EO、OH为同一线段的两个部分,互相换位,总长度不变;这一点类似前面的亨利·杜德尼5块解法。
2019年,笔者一个偶然的机会接触到这道题,用了三天时间解出了一个5块解法和两个6块解法,可以证明是正确的。
下面重点介绍笔者的5块解法。

解法的思路步骤:
笔者作为资深折友,而且设计作品众多,折纸理念、习惯根深蒂固。看到这道题,首先想到:原“主教冠”的正方形边长为1,目标正方形的边长为,正好符合等边三角形任一边长与其上的高的关系,与之匹配的角度是30度;恰巧,折纸中有专门折30度的方法:

根据这个方法,于是有了分割“主教冠”图形的第一步——找到目标正方形的边长线段、第二步——画出目标正方形:

从上图可以看出,“主教冠”图形和目标正方形有一块很大的黄色部分重合(多边形),那一块可以原地不动,免去操作。
根据“HL定理”:斜边和一条直角边对应相等的两个直角三角形全等,能推出。(∵ABCD。MBJF都是正方形,
块正好可以移到的位置。

那么,接下来,只需考虑剩下和该如何对应:

如下图,将对应的剩余两块,按“最大限度”原则重合(基于现代折纸设计中一直追求最大成品率——最大纸张利用率的要求)。观察剩余部分,可以轻易分解到一一对应。

将上面的切块进行有机组合。

组合后,即可得到最终的5块解法。图中所示青色块先移动,然后与另一块淡紫色块“合并”,变成粉色块;深绿色块直接从下方移至上方。

除了5块解法,笔者其实还想出另外两个6块解法。这里就不赘述。


这道题与另一道千年题“瓦法切割”(Abu’I-WafaDissectionProblem)也有关联,笔者也有新解,篇幅有限,有机会再展开论述。
纵观前文的分析和介绍,对于“主教冠”几何剖分问题,如果只看最简解法的话,需要考虑几点:一是想办法在原图形中找到目标正方形的边长;一是想办法把不规则的尖角块进行组合、匹配;一是让匹配边边长总和相等;另一点是尽量减少块数。即,最大化匹配块的面积(哈里·林格伦和笔者的解法是从这点入手)。
无论是数学教育,还是数学研究,不推荐的方法是“题海战术”;而挖掘它背面的道理,触类旁通、融会贯通更为重要。
古希腊三个几何难题——“化圆为方”、“三等分角”、“倍立方”,其中“化圆为方”从本质来说也是相同面积的多边形(在三大难题中为圆)到正方形的转化。
笔者作为折纸爱好者和数学爱好者,因为折纸设计需要,先后研究了“正方形内手折最大正多边形”、“正方形内5步手折100以内任意质数等分”,再加上基于自己的理解和领悟写的这篇文章,分别对应面积剖分、线段等分,以及面积剖分转化,这种过渡真是神奇!
笔者的折纸类型为密铺和镶嵌(镶嵌为主),这些又与数学密铺、面积剖分、拼块游戏等有着密不可分的联系。看似分门别类、各自为营的领域却有着千丝万缕的联系。以数学贯穿其中,相当神奇!
笔者既不是数学专业,也不是资深研究学者,更不是数学家、科普作家等,但仅仅从一个普通爱好者的角度去用心做一道题,也会有新发现。所以,我们不应妄自菲薄。当然,也要虚心请教、不断扩展和深度研究。
目前,关于平面图形分割,已有很多定理,比较基础的是定理1:平面上任意简单多边形可以分割成有限份,拼接成一个正方形。另根据华勒斯-波埃伊-格维也纳定理(Wallace-Bolyai-GerwienTheorem),平面上任意面积相等的多边形剖分等价:两个多边形面积相等,那么其中一个能分割成有限多块多边形,经过平移和旋转,拼合成第二个多边形。也即图形等组(将某图形进行有限次分割后,可拼成另一个图形,称这两个图形等组)。这意味着我们可利用切割拼接来定义面积(参见希尔伯特《几何学基础》)。这个结论的空间推广就是第三问题:任意两个体积相等的多面体是否等组?可以确定,这个结论不能推广到高维,已被其学生证明不可能。这里笔者加一句,就像前面萨姆·劳埃德的4块解法证明是错的,我们就否定4块不成立吗?哈里·林格伦不是给出了另类的孪生四块正确解法嘛!所以,亲爱的读者,我们不该局限在眼前的错误,可以扩展,打破思维的墙,去另辟蹊径!数学有着神奇的魅力,它总能带来无限的惊喜和感动!不管成果如何,探索本身就很趣,您同意吗?
笔者水平有限,经验不足,行文之处有不妥之处还请专家和读者多多指正!谢谢!
References
[Gardner66]MartinGardner,,P122,,,May1966.
[杜德尼13]亨利·杜德尼,亨利·杜德尼数学趣题,P109,上海科技教育出版社,2013
[朴富成13]朴富成,趣味英才数学题,P145,译林出版社,2013
[伊凡·莫斯科维奇16]伊凡·莫斯科维奇,迷人的数学,湖南科学技术出版社,2016
;view=articleid=13757:marzo-2012-henry-perigal-publicado-en-la-revista-suma-no-61-2009catid=77:juegos-matemcosdirectory=67
;pg=PA81lpg=PA81dq=Abu+Al-Wafa+dissectionsource=blots=pOwfn3HsHWsig=ACfU3U2cjVZT4H3ddCXuByMXLik5HiFX1Ahl=zh-CNsa=Xved=2ahUKEwi0rbb70szkAhVOvZ4KHS9vBjwQ6AEwCHoECAkQAQ#v=onepageq=Abu%20Al-Wafa%20dissectionf=false